生态环境学报 ›› 2026, Vol. 35 ›› Issue (3): 425-436.DOI: 10.16258/j.cnki.1674-5906.2026.03.009

• 研究论文【生态学】 • 上一篇    下一篇

小球藻对广东红壤团聚体水稳性及其胞外聚合物组分的影响

黄绍强1(), 江恒2, 余世钦3, 蒋新宇2,*(), 程炯2, 陈三雄1,*()   

  1. 1.仲恺农业工程学院/园艺园林学院广东 广州 510550
    2.广东省科学院生态环境与土壤研究所/华南土壤污染控制与修复国家地方联合工程研究中心/广东省农业环境综合治理重点实验室广东 广州 510650
    3.岭南师范学院/生命科学与技术学院广东 湛江 524048
  • 收稿日期:2025-06-10 修回日期:2025-10-21 接受日期:2025-12-10 出版日期:2026-03-18 发布日期:2026-03-13
  • 通讯作者: *E-mail: xyjiang@soil.gd.cnchensanxiong@zhku.edu.cn
  • 作者简介:黄绍强(1999年生),男,硕士研究生,研究方向为土壤结构改良、水土保持与荒漠化防治。E-mail: 18943093171@163.com
  • 基金资助:
    广东省重点领域研发计划项目(2022B0111130003);广东省基础与应用基础研究基金项目(2025A1515010758);广东省科学院发展专项资金(2020GDASYL-20200103084);广东省科学院发展专项资金(2023GDASZH-2023010103)

Effects of Chlorella Vulgaris on Water Stability of Soil Aggregates and Extracellular Polymeric Substance Components in Red Soils of Guangdong

HUANG Shaoqiang1(), JIANG Heng2, YU Shiqin3, JIANG Xinyu2,*(), CHENG Jiong2, CHEN Sanxiong1,*()   

  1. 1. College of Horticulture and Landscape Architecture, Zhongkai University of Agriculture and Engineering, Guangzhou 510550, P. R. China
    2. National-Regional Joint Engineering Research Center for Soil Pollution Control and Remediation in South China/Guangdong Key Laboratory of Integrated Agro-Environmental Pollution Control and Management/Institute of Eco-Environmental and Soil Sciences, Guangdong Academy of Sciences, Guangzhou 510650, P. R. China
    3. Life Science & Technology School of Lingnan Normal University, Lingnan Normal University, Zhanjiang 524048, P. R. China
  • Received:2025-06-10 Revised:2025-10-21 Accepted:2025-12-10 Online:2026-03-18 Published:2026-03-13

摘要:

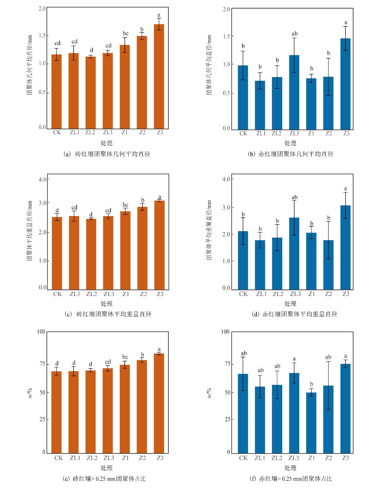
由于长期受到高温与强降雨影响,华南红壤土壤结构较差,具有“酸、黏、瘦”的特点。其中,土壤团聚体水稳性较差是红壤结构退化的核心问题。小球藻作为一种可持续的、无污染的、高效的土壤生物改良剂,近年来引起了学者们的广泛关注。以赤红壤、砖红壤作为供试土壤,通过室内土培实验探究小球藻对广东赤红壤与砖红壤团聚体水稳性及胞外聚合物(EPS)的调控机制。结果表明,施加活性小球藻能够显著提高两类红壤团聚体水稳定性。赤红壤与砖红壤高施加量组(Z3)的平均质量直径(MMD)分别较对照组提升44.0%和21.9%,几何平均直径(GMD)分别增加41.8%和40.6%,且粒径>0.25 mm水稳性团聚体占比(R0.25)提升12.6%和21.6%。灭活处理组因小球藻丧失代谢活性,团聚体改良效果不稳定。土壤EPS质量分数呈现剂量依赖性,活性处理组砖红壤EPS质量分数较对照提升49.7%。活与灭活小球藻处理的效果差异表明,生物活性是小球藻长效调控的关键因素。相关性分析显示,团聚体稳定性与土壤肥力性状、生态环境性状呈显著正相关。研究证实微藻可以通过代谢分泌EPS与改善土壤微环境的协同作用,增强红壤结构稳定性,这为亚热带退化红壤的生态修复提供了新型生物调控策略。

关键词: 砖红壤, 赤红壤, 小球藻, 土壤团聚体, 胞外聚合物

Abstract:

Due to long-term exposure to high temperatures and heavy rainfall, lateritic soils in South China exhibit poor soil structure, characterized by acidity, high clay content, and low fertility. Among these issues, the poor water stability of soil aggregates represents the core problem of lateritic soil structural degradation. Chlorella, as a sustainable, pollution-free, and highly efficient biological soil amendment, has attracted considerable attention from researchers in recent years. This study utilized lateritic red loam and latosol as test soils and conducted laboratory incubation experiments to investigate the regulatory mechanisms of Chlorella on aggregate water stability and extracellular polymeric substances (EPS) in these two lateritic soil types from Guangdong Province. The results demonstrated that the application of active Chlorella significantly enhanced aggregate water stability in both soil types. Compared with the control group, the mean mass diameter (MMD) in the high-application treatment group (Z3) increased by 44.0% and 21.9% for lateritic red loam and latosol, respectively, while the geometric mean diameter (GMD) increased by 41.8% and 40.6%, respectively. Additionally, the proportion of water-stable aggregates with particle size>0.25 mm (R0.25) increased by 12.6% and 21.6%, respectively. The inactivated treatment group exhibited unstable aggregate improvement effects due to the loss of metabolic activity in Chlorella. Soil EPS content displayed a dose-dependent response, with the active treatment group showing a 49.7% increase in EPS content in latosol compared to the control. The differential effects between active and inactivated Chlorella treatments indicate that biological activity is the key factor for long-term regulation by Chlorella. Correlation analysis revealed significant positive correlations between aggregate stability and both soil fertility properties and ecological environment characteristics. This study confirms that microalgae can enhance lateritic soil structural stability through the synergistic effects of metabolic EPS secretion and improvement of the soil microenvironment, providing a novel biological regulatory strategy for ecological restoration of degraded lateritic soils in subtropical regions.

Key words: latosol, lateritic red loam, Chlorella, soil aggregates, extracellular polymeric substances

中图分类号: